Developer Presses Ahead With Mega Gas Plant After Alberta Regulator Rejects 'Deficient' Plan
Written for the Energy Mix - March 12, 2026, with images added
My Scottish/Irish ancestors were immigrants who travelled by ship to the east coast of so-called “Canada” in the late 1700’s or early 1800’s, and were part of several waves of genocidal colonization of the Indigenous people on Turtle Island. We arrived uninvited on the traditional unceded territory of the Wəlastəkewiyik (Maliseet) whose ancestors along with the Mi’Kmaq / Mi’kmaw and Passamaquoddy / Peskotomuhkati Tribes / Nations signed Peace and Friendship Treaties with the British Crown in the 1700s. Growing up, I knew little about the true history and we didn’t really discuss this in my family. As a child in the 1970’s, my parents moved west to work in the oil sands industry and I grew up in the Nistawâyâw (Cree) Ełídlį Kuę́ (Dene) - Fort McMurray area within Treaty 8 territory, which his home to six First Nations and six Métis communities. Today, I am grateful to be writing this newsletter from Moh’kinsstis, and the traditional Treaty 7 territory of the Blackfoot confederacy: Siksika, Kainai, Piikani, as well as the Îyâxe Nakoda and Tsuut’ina Nations. This territory is also home to the Métis Nation of Alberta, Region 3 within the historical Northwest Métis homeland. The Treaties were an agreement to share the land and must be honoured. I begin this newsletter with my personal past so that you may know a little about me and what motivates me to keep writing this newsletter in the present. As a grandmother, I choose to write freelance articles about energy and the environment out of concern for the future of my own and all grandkids. I support land back as an act of reconciliation. Lands inhabited by Indigenous peoples contain 80% of the world’s remaining biodiversity. Indigenous Peoples’ traditional knowledge systems are critical to creating a more harmonious future for all.
Facing community outcry over the location and regulatory rejection, Synapse Real Estate Group says it will continue to pursue its plans for a gas-powered plant and “Canada’s largest” data centre in the small farming town of Olds, Alberta.
Alberta’s utility regulator rejected the company’s application for a 1.4-gigawatt generating plant to supply the proposed artificial intelligence (AI) data centre, which would use as much power as one million homes. The gas plant would generate three times the power of Suncor’s Firebag cogeneration plant.
The Alberta Utilities Commission (AUC) issued [pdf] the decision in a letter to Synapse CEO Jason van Gaal on March 6, citing “significant deficiencies” in environmental evaluations, noise impact assessments, and “particularly” the company’s failure to consider concerns from those “directly and adversely affected by a proposed development.”

“I think, ultimately, the AUC wants to make sure that we’re communicating effectively with the community and receiving feedback, and we’re absolutely doing our best to do that,” van Gaal told The Albertan in an interview.
Van Gaal replied to The Energy Mix’s questions with a prepared statement, writing, “the commission made clear this decision does not assess the merits of the project and that Synapse can reapply once the required information is completed. We are reviewing the guidance and will work with regulators and the community to ensure the next application fully meets those requirements.”
Ed. note: Here are the questions that Synapse chose not to answer:
1. Are you planning to resubmit your application and if so, when do you anticipate submitting?
2. What will you be focusing on for next steps?
3. How will you address the concerns from the community?
4. Any learnings from this experience? Anything you would do differently if you had the chance?
5. Will there be a federal impact assessment for this project?
More than 40 residents of Olds submitted objections to the Synapse power plant, citing concerns about noise, mental health impacts, health effects of air pollution, water usage, property values, stress on municipal infrastructure, electronic waste, chemicals, and affordability for low-income residents.
Alberta’s 2nd largest gas plant zoned ‘light industrial’
But Olds town council welcomed the province’s second-largest gas-powered plant to use 300 acres of farmland within the town’s eastern boundary, reclassifying it as “light industrial.” Olds is about 90 kilometres north of Calgary, and has a renowned agricultural college, beloved locally for its botanic gardens and wetlands.
“I don’t believe it is ‘light industrial’ zoning,” Janey Olson, an 18-year resident of Olds, told The Mix. “If you go by the description of what heavy and light are, this is heavy industrial.”

Olson said a group of residents who attended the town’s zoning meeting had asked the council to “please table that decision until we know more,” but the zoning decision still went ahead.
The Mix emailed Olds Mayor Dan Daley about the Synapse project zoning two weeks ago but he has not yet responded. This story will be updated with any new information he provides.
Ed. note: Here are some of the questions that Mayor Dan Daley chose not to answer (several of my questions are no longer relevant and/or have been added to the FAQs on the town’s website):
1. How long has Council known about the Synapse plan to locate a power plant and data centre in Olds?
2. Can you explain how a gas-powered generating plant of this size is considered “light industrial”?
3. How is the town ensuring the concerns of residents are addressed?
4. How much corporate tax revenue will this project be contributing to the Town’s budget?
5. What are the additional costs incurred (ie. infrastructure, housing supports, population influx, traffic) by siting the project within the town?
6. In the event of an emergency, it looks like almost all of the town would be within two kilometres of the plant, and likely impacted - how does this affect the town’s emergency planning?
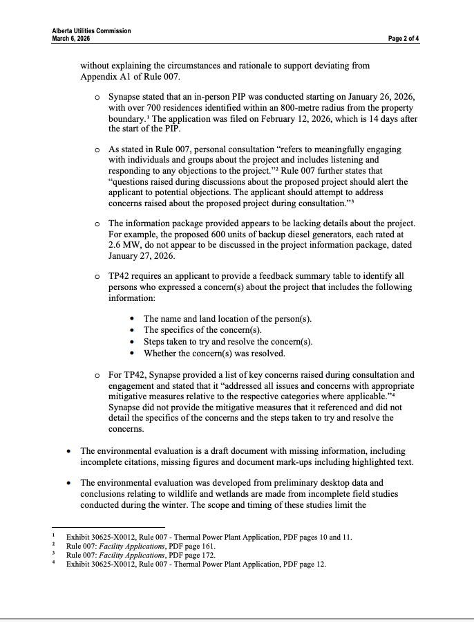
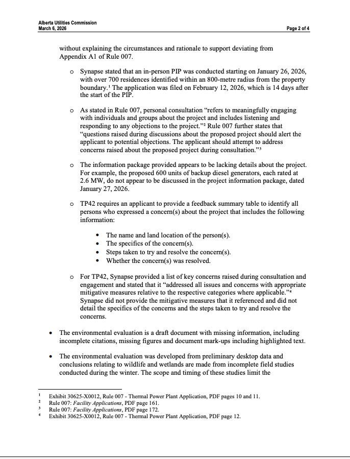
In its letter, the AUC said the company could reapply in the future, but detailed several deficiencies:
The participant involvement program lacked detail and sufficient information;
Information in the environmental evaluation document was provided in draft format;
Field studies on wildlife and wetlands were incomplete;
The noise impact assessment did not include the project’s 600 backup diesel generators;
The plan was missing a reclamation security plan; and
The company filed an incomplete listing of other approvals required.
Synapse stated in its application that the federal Impact Assessment Act did not apply to the project. But the AUC said Synapse would have had to submit a project description to the Impact Assessment Agency of Canada to determine whether the Act applies, adding that any new fossil-fired power generating facility with production capacity of 200 megawatts or more falls under the Act.
“As stated in Rule 007, personal consultation ‘refers to meaningfully engaging with individuals and groups about the project and includes listening and responding to any objections to the project.’”
From the AUC letter
On March 9, Olds Chief Administrative Officer Brent Williams said he would be meeting with the company and the AUC separately in the coming days.
For some residents, the AUC rejection brings an opportunity to pause and take stock in what has been a busy couple of months since finding out about the proposal.
Eric Carlson, who lives about 600 metres from the proposed site with his wife and three children, told The Mix he had full trust in the AUC’s process and appreciated the care the commission took to ensure applications meet the required standards before moving forward.
But he is now preparing to go through the process again, since Synapse is pressing on with the power plant in its same location.
‘Not appropriate within town limits’ resident said
Rachel Sorenson, whose home is directly across the street from the project, said she wouldn’t be able to stay if the project goes ahead. A retired paramedic, she told The Mix she was elated when she heard of the AUC decision, but that was short-lived when she found out Synapse would be reapplying.
“I love Olds, it is a beautiful close-knit community,” she said, “but there are no health benefits to living next to a power plant.” She has serious concerns for herself and one of her grandsons who suffers from asthma. Sorenson believes the Synapse plant is not appropriate within town limits.
Edmonton-based resident doctor Julia Sawatzky, a board member and Alberta regional co-chair for the Canadian Association of Physicians for the Environment (CAPE), told the Mix in September that nitrogen oxides from gas turbines are released into local communities, causing air pollution that contributes to respiratory diseases.
“We know that nitrogen oxides can contribute to both the development of asthma and chronic obstructive pulmonary disease,” she said. “And there’s also small particulate matter emitted from gas turbines which is similar to what is in wildfire smoke or other really visible heavy air pollution.”
The particulate matter is so small that it can lodge deep in the lungs and also cross over into the bloodstream, contributing to high blood pressure and causing heart attacks and strokes, Sawatzky said.
Gas turbines also emit volatile organic compounds that are known carcinogens, putting people at risk, or higher risk, of various types of cancer.
Decisions made far from where the harms are felt
“It’s actually an environmental justice issue because the projects and the impacts and the harms are being put in places far away from places like Edmonton and Calgary where the decisions tend to be made,” Sawatzky added.
Sorenson said another citizen-led meeting March 13 will a chance for Olds residents to gather to discuss how the power plant and data centre will affect their daily lives. Olson said she’s written a letter to Premier Danielle Smith and, along with several other residents, met with the local Member of the Legislative Assembly, Tara Sawyer. She has questions about cumulative impacts on the regional water supply and whether the province is doing its due diligence on AI data centre developments, but said she has yet to receive answers.
“We’re not a big city, we are a small town, and I don’t remember when we agreed as a small town to become a tech hub for the province or for our council,” she said. “I just don’t remember that conversation happening.”
Synapse’s public statement about the setback concluded with: “We have taken the AUC’s guidance and our community’s feedback to heart, and we are pleased to launch www.synapsedatacenter.com/we-are-listening/ as a first step in facilitating our long-term dialogue.”
The web page includes a series of videos to answer common questions about the project. When Olson watched one of the videos, she noticed it had a “strange voiceover.”
“I might have been tongue in cheek, but I said, Jason, you didn’t hire a local voice actor, you hired an AI?”
Read the original story for The Energy Mix and more!
Pages 2-4 of the AUC letter are below:
Watch my interview with Jenny Yeremiy of The Gravity Well for some further insight into this project, data centres in general, and the Wonder Valley data centre near Grande Prairie:





